| 일 | 월 | 화 | 수 | 목 | 금 | 토 |
|---|---|---|---|---|---|---|
| 1 | 2 | 3 | ||||
| 4 | 5 | 6 | 7 | 8 | 9 | 10 |
| 11 | 12 | 13 | 14 | 15 | 16 | 17 |
| 18 | 19 | 20 | 21 | 22 | 23 | 24 |
| 25 | 26 | 27 | 28 | 29 | 30 | 31 |
Tags
- 재귀함수
- 정오각형
- 하합
- 이항분포
- counting sunday
- 상합
- 수학탐구
- Geogebra
- python
- 작도
- 프로젝트 오일러
- 프랙탈
- 확률실험
- 큰수의법칙
- 구분구적법
- 큰 수의 법칙
- project euler
- 블록코딩
- 몬테카를로
- 알지오매스
- 제곱근의뜻
- algeomath
- 피타고라스 정리
- 리만합
- 시뮬레이션
- 파이썬
- 삼각함수의그래프
- 오일러
- 지오지브라
- java
Archives
- Today
- Total
이경수 선생님의 수학실험실
R function_example2 본문
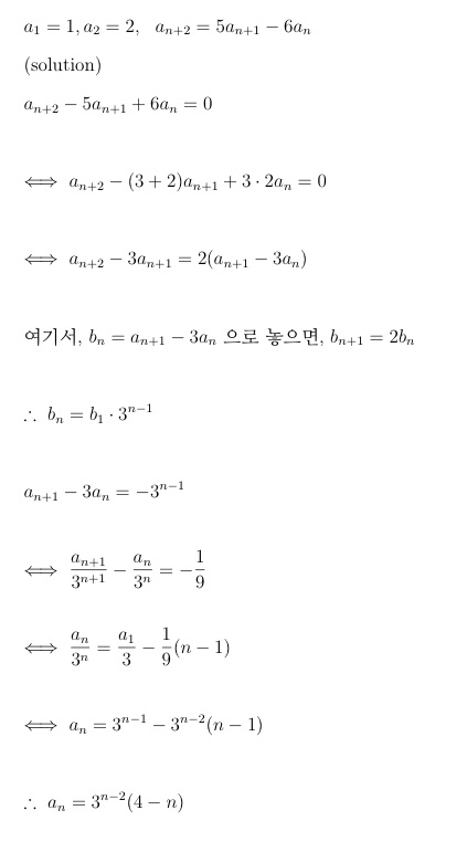
이웃한 세 항들로 이루어진 점화식을 R function으로 나타낸 것이다.
> g <- function(n){
+ if(n==1){
+ return(1)
+ }
+ else if(n==2) {
+ return(2)
+ }
+ else {
+ return( 5*f(n-1)-6*f(n-2) )
+ }
+ }
> g(1)
[1] 1
> g(2)
[1] 2
> g(3)
[1] -5
> g(4)
[1] -0.9058824
> g(5)
[1] -0.2586016
특성방정식의 해를 이용하면, 점화식의 형태를 등비수열의 점화식 꼴로 변형할 수 있다.

또한, 특성방정식이 서로 다른 실근을 갖는다면, 형태가 같은 두 종류의 등식을 얻을 수 있다. 이 두 등식을 연립하는 방법으로도 점화식을 해결할 수 있다.
'R' 카테고리의 다른 글
| R List indexing (0) | 2021.04.21 |
|---|---|
| R function_example3 (0) | 2021.04.20 |
| R function_example1 (0) | 2021.04.20 |
| R의 데이터 타입_배열(array) (0) | 2021.04.20 |
| Matrix operation (0) | 2021.04.20 |
Comments